
無論是專業運動員還是慢跑愛好者,提升跑步效率都是重要的課題。其中,能量消耗是決定跑步效率的關鍵因素,通常以每公里消耗的能量來衡量,而跑步效率受到多種因素影響,其中之一便是跑步環境。2023年發表在國際期刊的一篇研究探討了生物力學指標與跑步能量效率之間的關係,特別關注跑者在不同坡度條件下的表現,研究人員希望了解是否會隨著坡度變化而影響跑步能量消耗。
上坡跑步:增加能量消耗,調整步態提高效率
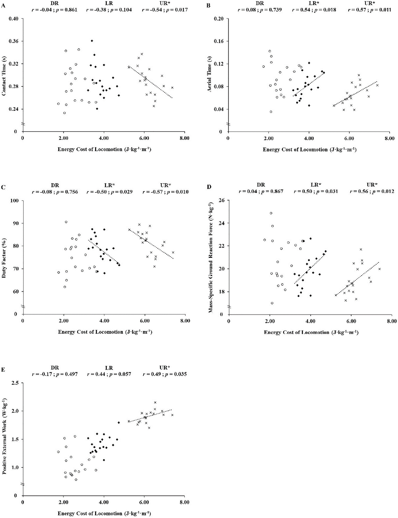
研究結果發現當面對上坡時,能量消耗會增加,因為需要額外的努力來克服地心引力。在上坡跑步期間的生物力學和能量消耗之間找到了有趣的關係,隨著如著地指數(Duty Factor)、地面反作用力及跑步時作功的增加,跑步經濟性也會跟著變得更好,可能是因為我們的肌肉必須更努力地對抗地心引力,通過延長我們的腳與地面接觸的時間,肌肉可以更有效地產生力量,以更高效的方式推動我們向前,此發現可以為經常遇到上坡地形的越野跑愛好者調整跑步模式,並帶來更有效的跑步策略。(延伸閱讀:何謂跑步經濟性?)
下坡跑步:依賴地心引力,肌肉主要負責減震
上坡跑步時顯示出生物力學和跑步能量消耗之間有著顯著的關聯,但在下坡跑步時並非如此。研究人員發現在下坡跑步時,力學參數對能量消耗的影響很小,這可能是因為下坡跑步時依賴地心引力來推動自己向前,而肌肉則主要充當減緩衝擊的避震器,生物力學在上坡時發揮著關鍵作用,但下坡時更多利用外部力量幫助我們前進,而不是透過跑者改變跑步模式提升跑步效率。
除了上坡與下坡,我們在平地跑步時能量消耗與生物力學參數也有一定程度的相關,根據此研究,平地跑步時較高的著地指數(Duty Factor)及較高的地面反作用力皆能幫助跑者提升跑步效率。
根據坡度調整跑步策略!
這項研究幫助我們更深入的了解坡度對跑步生物力學和能量消耗的影響,並提供了針對不同地形調整跑步策略的方向。在上坡時,適當調整步頻和著地方式可能有助於提高能量效率;而在下坡時,則可以更多依賴地心引力來減少肌肉負擔。然而,需要注意的是,本研究的結果來自跑步機環境,應用於戶外可能會受到其他因素影響,例如地形變化或風阻。因此,無論是應對崎嶇的越野路線,還是單純享受公園慢跑,或許可以嘗試根據坡度適時調整跑步方式,跑的更輕鬆且有效率。

參考文獻: Lemire, M., Faricier, R., Dieterlen, A., Meyer, F., & Millet, G. P. (2023). Relationship between biomechanics and energy cost in graded treadmill running. Scientific Reports, 13(1), 12244.
加入會員看更多