衛星定位也可以應用在足球訓練

近日全球瘋世足,各界皆在關注選手場上的亮眼表現,與精彩刺激的賽事變化。足球是一種團隊運動,不同站位的選手各有其負責的任務,除此之外,足球還是一種消耗大量體能的運動,如何量化不同位置選手的場上負荷量以及運動表現,成為各隊重要議題。為此,近年國際足聯 FIFA 與研究團隊讓選手在比賽中穿戴定位裝置 (衛星定位Global Position System, GPS) 追蹤器,此外也包括了加速規、陀螺儀和心率帶。收取GPS、加速度以及心率等參數,並利用有效指標便能評估、監測球員的運動表現。

利用定位技術開發新的體能指標

2020年德國的研究團隊利用定位結合慣性感測器收取了位移、加速度變化、心率等參數,將這些參數整合計算後提出兩個新的體能指標,效率指數 (Efficiency Index, EI)以及表現指數 (Performance Index, PI),比較場上不同位置之間EI 值和 PI 值的差異。EI值為比賽中該球員的平均速度除以平均心率,PI值則為EI值與高速加速次數(nacc: 加速度大於2m/s2)的乘積,計算公式如下。此研究招募了55名足球選手,分別比較上下半場各位置選手總位移、速度、加速度以及各個位置選手上下半場平均心率,並將速度及高速加速度次數加入,綜合分析運動員在比賽中的負荷。

衛星定位也可以應用在足球訓練

體能指標計算公式

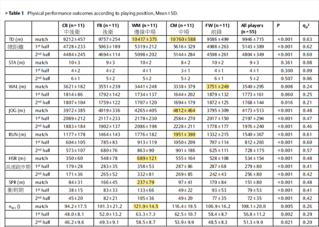
統計結果後得知,EI 值最高為中場球員,PI 值最高為邊線中場球員。研究者推論邊線中場球員與中場球員體能負荷量有較高的趨勢,可從表1得知邊線中場球員和中場球員跑動總距離較多,除以上場時間平均值後得到相對較高的平均速度。足球為包含大量快速變向的運動,可進而推測高速跑動或變向次數越多,可能導致較高的身體負荷量。高速變向加速度次數 (nacc) 最多為邊線中場球員也有最高的PI值(如表2),為符合專項動作之特性,研究團隊認為加入nacc參數後的PI 值可能比較適合作為體能參考指標。

衛星定位也可以應用在足球訓練

表1、不同位置足球選手在不同速度區間之上下半場及總平均位移,以及加速度範圍為大於 2 m/s2 的次數
衛星定位也可以應用在足球訓練
圖2、各位置選手上下半場以及總平均心率、EI值、PI值

平均速度、加速度變化次數以及心率對於足球競技運動是重要的指標,此篇研究透過定位技術蒐集這些參數,整合計算出EI值以及PI值後比較不同場上位置球員之差異性,幫助專項教練以及運科人員了解其不同體能需求,進而更有效協助選手進行專門位置訓練計畫,再透過定位技術監控選手訓練前後在競技賽場上的表現與負荷量,便可以有效的量化並監控球員表現與體能,逐漸提升有效訓練的成果。

參考文獻

Reinhardt, L., Schulze, S., Schwesig, R., & Kurz, E. (2020). Physical match performance in sub-elite soccer players–Introduction of a new index. International Journal of Sports Medicine, 41(12), 858-866.

加入會員看更多

更多最新文章

回頂部