下肢受力與傷害間的關係
對於跑者來說,若想減少跑步時造成的運動傷害,監控下肢的力量負荷將會是重要的一環。過大的下肢負荷將會提升疲勞性骨折與足底筋膜炎發生的機率。在過去許多跑步相關的文獻也都證實了這之間的關聯性。因此,若想降低跑步時的負荷率,除了調整著地策略外,變換跑步時的軀幹姿勢、步頻,或許也是可行的方法。
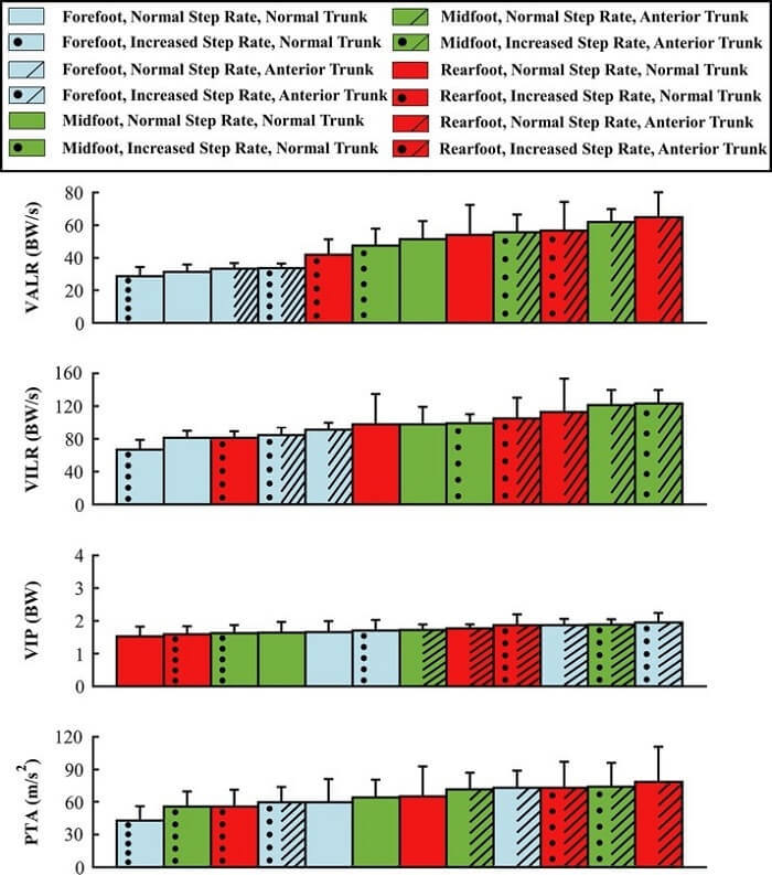
如何跑才有較低的負荷率?
2019年一篇生物力學的研究(Foot strike pattern, step rate, and trunk posture combined gait modifications to reduce impact loading during running)以跑步時不同著地策略(前足、中足、後足)、不同步頻、軀幹有無傾斜等變項一同比較,觀察何種跑步組合會有最小的下肢負荷,以及何種組合為較省力的方法。結果顯示,前足著地、高步頻、軀幹無前傾的這個跑法是負荷率最低的步態組合;後足著地、一般步頻、軀幹前傾為負荷率最高的步態組合;而中足著地、一般步頻、無軀幹前傾為最自在和省力的步態組合;後腳著地、高步頻、軀幹前傾,為最不自在和最費力的步態組合。

找到適合自己的跑法才是最重要的!
由此可知,使用前或中足著地的跑法、提高步頻及減少軀幹前傾的幾種方法為負荷率較低與較舒適的跑法。然而,使用高步頻及前足著地的跑法,雖然能降低衝擊負荷,但這種步態需考慮某些潛在風險,例如:小腿後肌群與跟腱的負荷增加,過度使用某部分肌群引起局部疲勞而造成傷害。因此,每個人適合的步態組合可能不盡相同,如何在表現與傷害之中取得平衡,也是需要去慢慢調整的。而在改變跑法的同時也應以循序漸進的方式調整,並且強化因應不同跑法之使用肌群,避免因為突然的改變而造成更多的運動傷害。

加入會員看更多