籃球是一種高強度間歇性的運動,比賽中需要不斷地加速、減速以及改變方向,對有氧跟無氧能力有很高的要求。因此,如何依照比賽需求設計適量的訓練,提升選手的體能以適應比賽,對教練來說是一件很重要的事。但是,通常教練在設計訓練時只能以自身的經驗判斷訓練強度,而且難以掌握每一位球員在訓練中的狀態。如果能有良好的輔助工具可以客觀且精確的量化訓練量,會讓訓練更有效率。
2016年,一篇研究 (Accelerometer Load Profiles for Basketball-Specific Drills in Elite Players) 透過微型的加速度感測器對專業籃球選手的訓練進行量化,評估不同的訓練項目與不同場地大小的訓練效果,希望可以透過量化選手的訓練量來幫助教練更精準地安排訓練強度與週期。研究團隊觀察了12名男性專業籃球運動員,其中,訓練項目分為四種:5對5、4對4、3對3、2對2,場地大小限制為半場或全場,在訓練的過程中,讓球員在背部配戴一個微型加速度感測器,紀錄每位選手的 “選手負荷 (PlayerLoad) ”來觀察每位球員在不同訓練中的活動量。

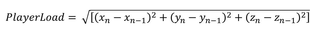
何謂PlayerLoad?
PlayerLoad 指的是 “瞬間合加速度的變化”,如下方公式,Playerload是同時計算前後、左右、上下方向的加速度變化量,是一種用來表示運動負荷的參數。PlayerLoad會變大是在加速度有劇烈變化的時候,比如上一秒還在往前衝刺,下一秒就馬上停下來折返,這時PlayerLoad的數值就會變大,但如果是持續往前加速,PlayerLoad的數值就不會太大,因此PlayerLoad通常用在觀察會一直改變方向的運動(例如籃球或是足球)的活動量。

全場3對3、5對5顯示出最高的PlayerLoad!
研究團隊發現,全場3對3與5對5有較大的PlayerLoad,全場活動量高於半場很合理,因為活動的範圍增加許多;5對5比其他高的原因可能是因為5對5的練習與真實比賽較相似,使球員能保持較高的動機,進而造成活動量的提升,而3對3的PlayerLoad較大就牽涉到訓練的設計與類型。另外,研究團隊還發現越矮小的球員,擁有越高的活動量,可能原因為籃球戰術上,通常矮小的後衛跑動較高大的中鋒多,因此使矮小的球員測得較高的活動量。

結合不同感測器才能動靜皆宜!
從這樣的研究結果中我們可以發現,用微型加速度感測器來監控籃球訓練確實可以提供教練更多面向的資訊,尤其是個別球員的活動量。不過,加速度感測器也不是萬能的,目前的研究結果指出,雖然加速度感測器可以用來監控動態的活動量,但是比較偏靜態的對抗,例如在爭搶籃板時,會有許多看起來靜止不動的推擠,這種肌肉靜態的用力也非常消耗體力,但卻不太會反映在加速度感測器的數據上。因此,未來要能更科學化的訓練,或許需要結合不同的感測器,例如測心率&加速度才能更精確地描述運動的強度負荷。
加入會員看更多